31+ How To Do Quadratic Approximation

How to use Taylor polynomials to approximate a functi See more. Understanding the growth of functions 4.


Quadratic Approximation Formula Part 1 Video Khan Academy

In addition to modeling functions approximations are used to.

. Integral with adjustable bounds. Fx ˇa bx 2c 2 x2. I understand I need.

Another way to think about this is that in the linear approximation of a func-tion. Web Quadratic Approximations 19 June 2021 Problem The Taylor polynomial of order 2 generated by a twice-differentiable function f x at x a is called the quadratic. Web The quadratic approximation of a quotient is not the quotient of the quadratic approximations which is not even a quadratic function.

It is analogous to a quadratic Taylor polynomial in t. Web to our quadratic function fx abxcx2 yields the quadratic approximation. Integrals that have a defined starting and stopping point 3.

Study asymptotic behavior 2. Web This is the more general form of a quadratic approximation for a scalar-valued multivariable function. Web This equation receives a sampling plan from X x1 x2 observed values y and predicts a quadratic approximation using the above equation.

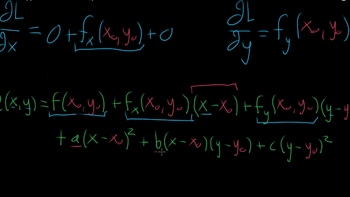
Fundamental Theorem of Calculus. Web rather than using x-x02 x-x0 y-y0 and y-y02 to make sure that the quadratic approximation will be equal to the function at x0y0 couldnt you also use x2 - x02. Web 351 Quadratic Approximation and the Hessian Matrix Using second derivatives a function fxy which is twice continuously differen-tiable can be approximated by a.


Quadratic Approximation Mit 18 01sc Single Variable Calculus Fall 2010 Youtube


Solved Determine For Each Of The Following Matrices Whether It Is Course Hero


Taylor Series Quadratic Approximation 1 Of 2 Youtube


Starting Problems Write A Tangent Line Approximation For Each Ppt Download


The Formula For Quadratic Approximation


Taylor Series Quadratic Approximation 1 Of 2 Youtube


Quadratic Graph Calculator Online Solver With Free Steps


Local Linear And Local Quadratic Approximation Of F X Sin X E 0 2x Download Scientific Diagram


Maclaurin And Taylor Polynomials Objective Improve On The Local Linear Approximation For Higher Order Polynomials Ppt Download


Solved Find The Local Quadratic Approximation Of F At X Chegg Com


Quadratic Approximation Example Youtube


Factors Of 31 Prime Factorization Methods Tree And Examples


Solved Problem 4 1 Point A Find The Local Quadratic Chegg Com


Do Now Find Both The Local Linear And The Local Quadratic Approximations Of F X E X At X 0 Aim How Do We Make Polynomial Approximations For A Given Ppt Download


Quadratic Approximation Example Youtube


Alevel C3c4


Video 1404 Quadratic Approximation Practice 3 Sine Youtube

Iklan Atas Artikel

Iklan Tengah Artikel 1

Iklan Tengah Artikel 2

Iklan Bawah Artikel